广汽集团获得发明专利授权:“用于确定噪声阶次的方法及装置、电子设备、存储介质”
证券之星消息,根据天眼查APP数据显示广汽集团(601238)新获得一项发明专利授权,专利名为“用于确定噪声阶次的方法及装置、电子设备、存储介质”,专利申请号为CN202410116120.1,授权日为2025年5月6日。

图片来源于网络,如有侵权,请联系删除
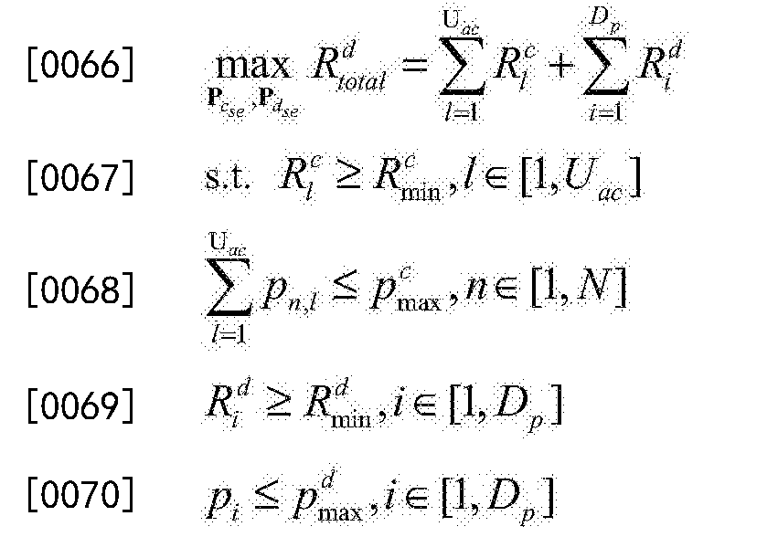
专利摘要:本申请的实施例揭示了一种用于确定噪声阶次的方法及装置、电子设备、存储介质。该方法包括:获取发动机噪声的参考噪音时域数据;对参考噪音时域数据进行人耳校正,获得人耳时域噪音数据;根据人耳时域噪音数据获取发动机噪声对应的人耳噪音频域数据;根据人耳噪音频域数据获取发动机噪声的频率对应的拍击频率矩阵;根据拍击频率矩阵获取发动机噪声对应的噪声阶次。本申请的实施例通过对发动机噪声的参考噪音时域数据进行人耳校正,以便于利用能够模拟人耳感觉的人耳时域噪音数据获取发动机噪声的频率对应的拍击频率矩阵,以获取发动机噪声对应的噪声阶次,以便于根据该噪声阶次确定产生噪音的零件,提高了发动机噪音定位的准确率。
今年以来广汽集团新获得专利授权428个,较去年同期增加了6.2%。结合公司2024年年报财务数据,2024年公司在研发方面投入了18.12亿元,同比增4.51%。
数据来源:天眼查APP
以上内容为证券之星据公开信息整理,由AI算法生成(网信算备310104345710301240019号),不构成投资建议。
目录 返回
首页
